清華團隊合作揭示控制煤電容量增長和加速可再生能源部署對中國能源轉型的綜合影響

清華新聞網7月7日電(通訊員 王家興)近日,清華大學“碳中和與能源智聯”國際大科學計劃培育項目團隊及合作者研究探討了煤電容量控制和可再生能源擴張對中國凈零排放戰略的綜合影響。研究構建了基于全球變化評估模型(GCAM)和電力系統優化模型的耦合分析框架,從社會經濟層面量化了實施嚴格的煤電容量控制和加速可再生能源部署的減排潛力,同時在電力系統運行層面識別并量化了單獨實施控煤政策對電力系統充足性的潛在風險。通過剖析四種非凈零排放情景及其相對應的凈零情景之間的關鍵轉型差異,研究提出相應的轉型建議,旨在為中國能源系統凈零排放轉型的平穩過渡提供有效參考。
相比傳統基于單一綜合評估模型的研究,如何在宏觀能源經濟層面探討轉型路徑的同時兼顧電力系統的運行特性,是捕捉能源轉型路徑中煤電與可再生能源發電相互作用關系,提升研究精細度、系統性與全面性的迫切需要。基于此,該研究旨在量化將嚴格的煤電容量控制和低成本可再生能源納入中國凈零排放戰略的宏微觀系統轉型影響,通過將技術豐富的綜合評估模型GCAM進行中國本地化校準后與小時級電力系統優化模型相耦合,克服了傳統綜合評估模型對電力系統運行細節刻畫欠缺的不足,為中國能源系統的平穩轉型提供參考。
圖1.不同情景下的排放路徑和碳價變化情況
研究結果表明,基準情景下中國的凈零排放能源轉型(BAU_CN情景)可實現約148 Gt CO2減排(2020-2060年),覆蓋未來1.5℃目標下的全球約37%的碳預算。這些減排主要通過碳價格的動態變化實現在各部門間碳減排的平衡。除碳價調控外,實施更嚴格的煤電容量控制和加速降低可再生能源成本都有利于進一步降低碳排放。如圖1所示,實施更嚴格的煤電容量控制(SPs_CN情景)將在短期內產生顯著的減排效果,并可額外降低約27 Gt的CO2排放;降低可再生能源成本(REs_CN情景)則更有利于對化石燃料的替代,從而促進長期減排,最終可額外降低約38 Gt的CO2排放。若同時考慮兩項減排措施(RESP_CN情景),累計減排效益可提升至196 Gt,覆蓋未來全球碳預算的約49%。
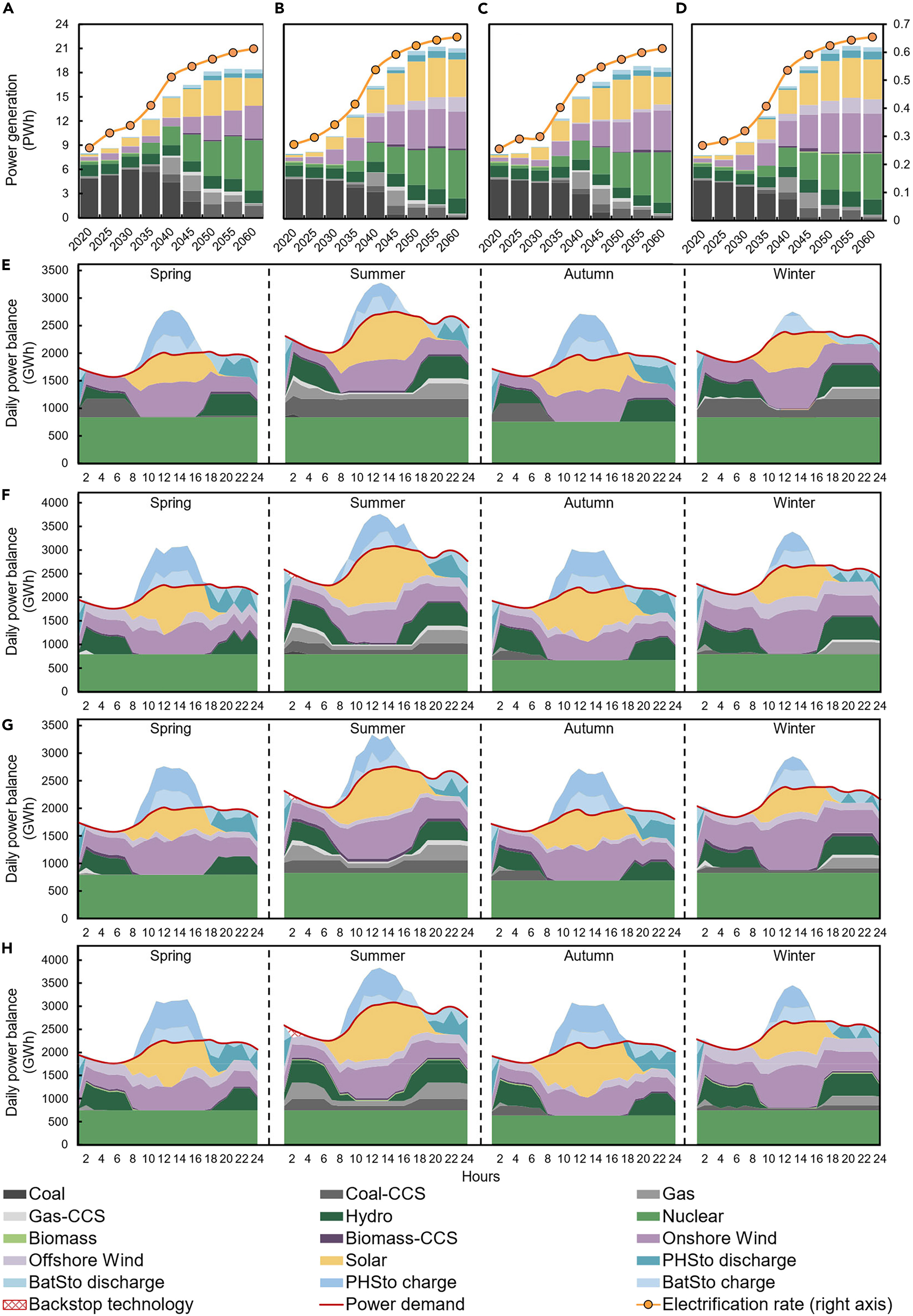
圖2.不同凈零排放情景下的電力組合、電力化率和小時級電力供需平衡
限制煤電投資(SPs_CN情景)雖顯著加速了煤電在電力結構中占比的下降,但也導致2025年及2030年的總電力產出分別減少約5.7%和11.1%(圖2),并減緩了終端能源的電氣化進程。電氣化的放緩反而促進了終端領域直接燃煤使用的增長。與BAU_CN和REs_CN情景的電氣化水平(分別達到33.4%和33.9%)相比,SPs_CN情景下2030年的終端電氣化率僅為29.6%。與此同時,盡管該情景禁止新建煤電項目,但面對2030-2035年電力需求的快速增長,現有煤電廠仍需保持穩定運行。
通過耦合小時級的電力系統優化模型,該研究進一步從電力系統運行層面揭示了單獨實施煤電容量控制策略的潛在風險。研究結果表明,隨著中國凈零排放路徑進入后期階段(2050年后),電力需求的持續增長將導致電力系統部署高成本的后備技術(如跨季節儲能),以應對在高負荷的夏季典型日可能出現的系統減載風險。相比于BAU_CN和REs_CN情景,SPs_CN情景中電力系統由于同時缺少新煤電和低成本可再生能源,導致了系統穩定性和充足性的降低,因此對后備技術的需求將更為普遍。到2050年,SPs_CN情景中最高約270 GW(約占對應總負荷的約12%)的電力負荷需通過后備技術滿足,且一天中最高七小時的時間需部署后備技術。在RESP_CN情景中,通過加速可再生能源部署,并配合儲能技術,可以有效緩解由于煤電容量控制導致的系統充足性降低的風險,從而降低系統對高成本后備技術的需求。
研究開發了一個耦合分析框架,通過多路徑分析探討了加速可再生能源擴張和實施嚴格的煤電容量控制所帶來的協同減排效益,從系統運行角度識別了過早且單一地實施煤電產能控制對未來電力系統帶來的潛在風險與挑戰,同時揭示出整合低成本可再生能源對于強化長期脫碳以及緩解電力系統充足性風險的重要性。
相關研究成果以“重新評估立即淘汰煤電的策略:中國凈零排放戰略下的煤電產能控制與加速可再生能源擴張的雙重迫切需求”(Reassessing Immediate Coal Phase-Out: Dual Imperatives of Capacity Control and Renewables Expansion in China’s Net-zero Strategy)為題,于7月1日發表于細胞(Cell)出版社《聯結》(Nexus)雜志。
清華大學環境學院2021級博士生王家興為論文第一作者。清華大學環境學院、碳中和研究院教授魯璽,中國礦業大學(北京)能源與礦業學院教授樊靜麗和中國21世紀議程管理中心研究員張賢為論文共同通訊作者。
研究得到“碳中和與能源智聯”國際大科學計劃培育項目、國家自然科學基金、國家重點研發計劃項目,以及鄂爾多斯-清華碳中和創新合作研究項目的支持。
本文鏈接:http://knowith.com/news-3-3219.html清華團隊合作揭示控制煤電容量增長和加速可再生能源部署對中國能源轉型的綜合影響
聲明:本網頁內容由互聯網博主自發貢獻,不代表本站觀點,本站不承擔任何法律責任。天上不會到餡餅,請大家謹防詐騙!若有侵權等問題請及時與本網聯系,我們將在第一時間刪除處理。
豪嘉利:蘋果id貸2025,正規蘋果id貸款app
官宣2025年孟加拉版帕博西尼售價更新 仿制版帕博西尼價格一覽表
大吉大利:佛山順德上門代還信用卡,可長期合作,高效便捷服務
大吉大利:廣州從化區代還信用卡取現,真實商戶積分,實體店多種方式
大吉大利:東莞南城區墊還信用卡,真實商戶積分,便捷商家
書讀百遍:花唄自己如何提現現金(分享三個操作方法)
索拉非尼是第幾代靶向藥?鮮為人知的印度索拉非尼價格折合人民幣大約在1200-1500元左右最新曝光!
取現無風險:怎么找羊小咩便利卡秒到商家!今日科普:
歡欣鼓舞:鄭州新鄭市墊還信用卡,的6種刷法 (無視風控秒回款)
真實的方法:DY月付大額怎么套取出來?